Introduction
*Please note that BCJ NO LONGER conducts the performance evaluation of formaldehyde-emitting building materials
Overview of Countermeasures Regarding Sick House Issues
This overview is based on amended Building Standard Law (Enforcement date: July 1,2003).
- Chemical substances covered by regulations:
Chlorpyrifos and formaldehyde - Regulations concerning chlorpyrifos:
The use of building materials containing chlorpyrifos for use in buildings with habitable rooms is prohibited. - Regulations concerning formaldehyde
- Restrictions on interior finishing materials
The area size where formaldehyde-emitting building materials that can be used as interior finishing materials is restricted according to the type of habitable room and the frequency of ventilation. - Mandatory installation of ventilation equipment:
Even when no formaldehyde-emitting building materials are used, formaldehyde is emitted by furniture. For this reason, the installation of ventilation equipment will, in principle, be mandatory in all buildings. - Restrictions related to ceiling cavities, etc.*:
The base materials used in ceiling cavities, etc. must have low formaldehyde-emission levels, otherwise ventilation equipment must be designed to allow sufficient ventilation of ceiling cavities, etc
- Restrictions on interior finishing materials
Regulations Concerning Formaldehyde
Basic Technical Criteria (Cabinet Order*, Notifications) for Countermeasures Regarding Sick House Issues
* Cabinet Order: The Building Standard Law Enforcement Order (hereinafter referred to as the Order)
- Chemical substances subjected to regulations:
The chemical substances stipulated in the Order are chlorpyrifos and formaldehyde. - Regulations on building materials in relation to chlorpyrifos:
The use of building materials containing chlorpyrifos in buildings is prohibited.
* Building materials containing chlorpyrifos are exempted if they have been used as building parts for five years or more. - Regulations concerning building materials and ventilation equipment in relation to formaldehyde
-
Restrictions on interior finishing materials
(1) Categories of building materials

*1 Measurement conditions:
Temperature: 28℃, relative humidity: 50%, formaldehyde density: 0.1 mg/m3 (=guideline value announced by MOHLW)
*2 There are no restrictions on materials that have been used as parts of buildings for five years or more.
Formaldehyde-emitting Building Materials
(2) Prohibition on use of Type 1 formaldehyde-emitting building materials:
The use of Type 1 formaldehyde-emitting building materials as interior finishing materials in buildings with habitable rooms is prohibited.
*"Habitable rooms" also include other areas of buildings, such as corridors, areas that have permanent openings (such as door undercuts) and areas that are ventilated together with the habitable rooms according to ventilation planning. (The same applies below.)
*"Interior finishing materials" are materials applied to the surfaces of walls, floors and ceilings (excluding picture rails, windowsills and similar parts). Wood pillars and other framing lumber, baseboards, handrails, head jambs, lintel joists, and other finishing trim, window/door trim, paint adhesives, etc. used in small quantities are excluded. (The same applies below.)
(3) Restrictions on use of Type 2 and Type 3 formaldehyde-emitting building materials:
The use of Type 2 and Type 3 formaldehyde-emitting building materials as interior finishing materials in habitable rooms is limited to area sizes that satisfy the following formulas:

*1 "Habitable rooms" in houses, etc. are habitable rooms in houses, bedrooms in boarding houses, bedrooms in dormitories, and sales areas in stores that are engaged in commodity sales, such as furniture and similar items.
*2 "Ventilation" includes ventilation achieved by using construction methods stipulated or approved by the Minister of Land, Infrastructure and Transport as providing a ventilation frequency equivalent or superior to mechanical ventilation equipment that is capable of providing the ventilation frequency as shown in the above table.
(4) Exemptions:
The following types of habitable rooms are covered by other criteria, etc., and are therefore exempted from the restrictions concerning interior finishing materials specified herein:
- Habitable rooms equipped with centrally controlled air-conditioning equipment that complies with specific criteria (Article 20-6, paragraph 1 item (1) (c) of the Order)
- Habitable rooms approved by the Minister of Land, Infrastructure, Transport and Tourism as rooms in which it is possible to maintain the density of formaldehyde at no more than 0.1 mg/㎥ throughout the year in areas where people can be expected to engage in normal activities. (Note: Such rooms are also exempted from the criteria concerning ventilation equipment.)
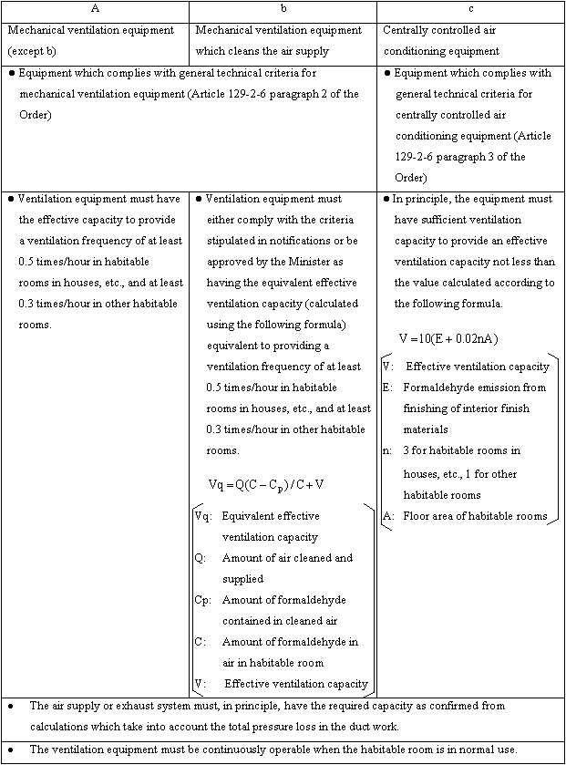
- Mandatory installation of ventilation equipment
(1) Installation of one of the following types of ventilation equipment is mandatory:

*1 When one mechanical ventilation system is used to ventilate two or more habitable rooms, its effective ventilation capacity must be equal to or greater than the total required ventilation capacity for all of the rooms.
*2 The control and operational status of mechanical ventilation equipment installed in buildings, etc. in which installation of an emergency elevator is required (except equipment used to ventilate individual habitable rooms) or the monitoring of centrally controlled air-conditioning equipment must be possible from a central control room.
(2) Cases in which general mechanical-ventilation equipment is not required:
The following types of habitable rooms do not require ventilation equipment that complies with the requirements in (1):
- Those in which ventilation is provided through openings and gaps (equivalent to a ventilation frequency of 0.5 times/hour)
- Those in which the total area of openings and gaps that are always open to the outside air and which are effective for ventilation is at least 15 sq cm per sq m of floor area
- Habitable rooms other than those used primarily for sleeping (e.g., habitable rooms in houses, bedrooms in hotels, inns and boarding houses) in which the total area of openings and gaps that are open to the outside air and which are effective for ventilation when the room is in use is at least 15 sq cm per sq m of floor area
- Those in buildings of "shinkabe" construction in which no plywood or similar panel-like building materials are used for exterior walls, ceilings and floors
- Those in buildings of "shinkabe" construction in which no plywood or similar panel-like building materials are used for exterior walls, and in which the fixtures and fittings in openings in exterior walls are wooden frames and have gaps through which ventilation can be provided
- Easing of ventilation frequency requirements for habitable rooms with high ceilings in the following:
- Habitable rooms in which the ceiling is above a certain height, and in which there is proper mechanical ventilation
- Equipment providing effective ventilation capacity or equivalent effective ventilation-capacity as stipulated in the following tables, according to ceiling height:
Habitable rooms (ceiling height 2.7 m or higher) with ventilation provided at the equivalent of 0.7 times/h
Habitable rooms (ceiling height 2.9 m or higher) with ventilation provided at the equivalent of 0.5 times/h
Habitable rooms (ceiling height 3.5 m or higher) with ventilation provided at the equivalent of 0.3 times/h
-
Habitable rooms approved by the Minister of Land, Infrastructure and Transport as rooms in which it is possible to maintain the concentration of formaldehyde at no more than 0.1 mg/㎥ throughout the year in areas where people can be expected to engage
in normal activities. (Note: Such rooms are also exempt from restrictions concerning the use of building materials.)
-
Restrictions concerning ceiling cavities, etc.:
Where mechanical ventilation equipment or centrally controlled air-conditioning equipment has been installed, one of the following measures must be implemented to prevent formaldehyde from entering habitable rooms through ceiling cavities, etc. (ceiling cavities, attics, cavities below floors, walls, storerooms and other similar locations):
(1) Controlling the emission of formaldehyde that could flow into habitable rooms when none of the following materials are used in base materials, thermal insulation materials or other similar surface materials, in ceiling cavities, etc.:
- Type 1 formaldehyde-emitting building materials
- Type 2 formaldehyde-emitting building materials
- Building materials approved by the Minister of Land, Infrastructure and Transport under the provisions of Article 20-5 paragraph 2 of the Order (building materials deemed to be equivalent to Type 2 formaldehyde-emitting building materials)
(2) Controlling the flow of formaldehyde into habitable rooms through the use of airtight layers or seals; the locations in which countermeasures are implemented are as follows:
- Areas facing the outside, other than separation walls that are separated from a habitable room with a continuous airtight layer, using airtight materials as stipulated in the "Design and Construction Guidelines for the Rationalization of Energy Use in Houses," based on Ministry of Construction Notification No. 998 of 1999, under the Law Concerning the Rationalization of Energy Use (Law No. 49 of 1979, known as the "Energy Conservation Law") (referred to below as "airtight materials")
- Parts of walls, etc. in which air seals are applied to all necessary locations, using airtight materials or materials with airtightness equivalent or superior to that of airtight materials (e.g., plasterboard) to control the flow of formaldehyde into habitable rooms by preventing the passage of air between habitable rooms and other areas.
(3) For ceiling cavities, etc. where the countermeasures described in (1) or (2) to limit formaldehyde flowing into habitable rooms due to air pressure differentials by measures based on the use of mechanical ventilation equipment, etc. to maintain the air pressure in habitable rooms at a higher level than in ceiling cavities, etc. have not been implemented. Depending on the type of mechanical ventilation equipment, etc. the following specific measures may be used for this purpose:
- Type 1 ventilation equipment (equipment with air supply and exhaust systems)
The air pressure in the habitable rooms shall be maintained above the pressure in the ceiling cavities, etc., by adjusting the capacities of the air supply and exhaust systems. Alternatively, an exhaust system installed in a habitable room or another exhaust system may be used to exhaust air from the ceiling cavities, etc.
- Type 2 ventilation equipment (equipment with an air supply system and an air outlet)
Because air supply is provided mechanically, no other special measures are required.
- Type 3 ventilation equipment (equipment with an air inlet and an exhaust system)
An exhaust system installed in a habitable room, or another exhaust system, may be used to exhaust air from the ceiling cavities, etc.
April 9, 2003
Ministry of Land, Infrastructure and Transport
Architectural Guidance Division
List of Designated Performance Evaluation Organizations Engaged in the Performance Evaluation of Formaldehyde-emitting Building Materials
-
Restrictions on interior finishing materials
| Organization | Telephone Number | Address | Designation* date |
| Japan Testing Center for Construction Materials | 048-920-3811 | Akos North N Building 3・6F, 2-9-2 Takasago, Souka-shi, Saitama 340-0015 |
March 14, 2003 |
| Japan Spinners Inspecting Foundation | 03-3661-7179 | Shiga Buildinug, 12-9 Nihonbashi Kodenmacho, Chuo-ku, Tokyo 103-0001 |
April 4, 2003 |
| Japan Plywood Inspection | 03-3591-7438 | Nishi-shinbashi Building 6F, 3-13-3 Nishi-Shimbashi, Minato-ku, Tokyo 105-0003 | March 14, 2003 |
| Japan Housing and Wood Technology Center | 03-3653-7662 | 3-4-2 Shinsuna, Koto-Ku, Tokyo 136-0075 | March 14, 2003 |
| Japan Paint Inspection and Testing Association | 03-3443-3011 | Tokyo Toryo Kaikan 205, 2-2-19 Ebisu, Shibuya-ku, Tokyo 150-0013 |
March 14, 2003 |
| Center for Better Living | 03-5211-0651 | Stage Building 4・6・7F, 2-7-2 Fujimi, Chiyoda-ku, Tokyo 102-0071 |
March 14, 2003 |
| Chemicals Evaluation and Research Institute, Japan | 03-5804-6131 | 1-4-25 Koraku, Bunkyo-ku, Tokyo 112-0004 | April 4, 2003 |
| General Building Research Corporation of Japan | 06-6872-0391 | 5-8-1 Fujishirodai, Suita city, Osaka 565-0873 | March 14, 2003 |
* Designation as an entity that is qualified to carry out performance evaluations for approval under Article 20-5 Paragraphs 2 through 4 of the Order as stipulated in Article 59 Item (8)-3 of the Ministry Order Concerning Designated Qualified Inspection Organizations, etc. under the Building Standard Law.


